The terms “Real World Data” (RWD) and “Real World Evidence” (RWE) refer to the widely heterogeneous amount of data arising from current practice in any area, and to the evidence that may be pointed out applying suitable statistical methods to their analysis. RWD are playing an increasing role in health care research nowadays. In general, RWD are data related to patients health status and consumption. Among others, the main sources of RWD are: Electronic health records (EHRs), claims and billing activities, clinical registries, patient-generated data and data gathered from external sources that can inform on health status, such as mobile devices.
The Health Analytics group activity is intensively focused on increasing the understanding and communication of RWE value and shaping an integrated, adaptive partner ecosystem, since only the collaborations among academy, reference administrations and companies may ensure credibility and trust in analyses.
The analysis of clinical registries and administrative data enables to carry out valuable epidemiological research in many different domain. Among others, the Health Analytics group is involved in studies aiming at assessing providers performances and developing healthcare research in chronic diseases (e.g., Heart Failure) as well as those pathologies which contribute to set up and/or increase the patient frailty status (Mental Health, Covid-19, …).

Research projects / lines:
- AlertCov – Dall’esperienza SARS-COV-2 a un sistema di allerta epidemiologica per l’identificazione precoce dei focolai epidemici

Goals: Il progetto ha come focus quello di mettere a punto un sistema di allerta per rilevare tempestivamente focolai epidemici attraverso la scansione automatica dell’andamento di eventi indicativi di una situazione che si discosta dall’andamento previsto. Poiché (i) gli eventi con queste caratteristiche sono potenzialmente di diversa natura, (ii) i dati che ne permettono la rilevazione possono essere estratti da numerose fonti, (iii) l’ispezione dei dati deve riguardare sottoinsiemi di individui che differiscono per area geografica di residenza, età, genere, vulnerabilità clinica, sociale ed economica, i problemi che devono essere affrontati per la messa a sistema di un processo di questo tipo sono: i) l’identificazione degli eventi in grado di far emergere tempestivamente segnali di allerta, minimizzando nello stesso tempo i (segnali) falsi positivi, ii) il riconoscimento delle fonti in grado di monitorare con adeguata periodicità, completezza e attendibilità l’andamento degli eventi; iii)la capacità del sistema di rilevare tempestivamente sottoinsiemi rilevanti da una enorme massa di dati.
Partners: ISTAT, ISS, CHRP
- European Joint Action ImpleMENTAL: Implementation of Best Practices in the area of Mental Health
Goals: Investing in mental health has a positive return for the sustained development of populations from an economic, social, and health perspective. This Joint Action aims to facilitate best practices transfer and the provision of concrete strategies and tools that advance implementation efforts of good practices in Europe and improve population health.
Partners: Dr. Antonio Lora (Healthcare District – Regione Lombardia), Prof. Giovanni Corrao and Dr. Matteo Monzio Compagnoni (CHRP, Bicocca University)
- Progetto Oncology Data Platform

Goals: This is a strategic project aimed at the development of innovative tools for integrating administrative data and data from clinical practice extrapolated from different sources to support the adoption of “data driven” and “value-based” approaches in pharmaceutical and health policy decisions.
The primary objective of this project is therefore the implementation of a framework fed by Real World data identified through targeted queries for generating evidence to support clinical practice and measure the value of innovative cancer drugs.
Partners: AstraZeneca and Politecnico di Milano launched this research project for the definition of a technical infrastructure based on the collection and integration of data from various Italian cancer hospitals, to be validated through a set of test queries along the data collection process. Istituto Nazionale Tumori (INT) joined the implementation of this research project as a pilot center. The project will focus on Non-Small Cell Lung Cancer (NSCLC).
- CHANCE (CHronic diseases management After the CoViD 19 epidemic trigger. Capturing data, generating evidENCE, suggesting actions for health protection)
Goals: Finanziato da Fondazione CARIPLO, il progetto mira a:- effettuare una valutazione del rischio di contagio da Covid-19 con particolare focus sui pazienti con fragilità croniche, individuando i soggetti a più alto rischio con lo scopo di adottare adeguate misure preventive;
- identificare, tra i pazienti affetti da patologie acute e croniche, coloro che necessitano di cure prioritarie, implementando queste ultime sulla base di un’opportuna analisi costi-benefici;
- valutare le conseguenze prodotte dalle restrizioni nell’accesso alle cure sanitarie imposte durante la fase emergenziale, per stabilire protocolli di gestione delle malattie acute e croniche da utilizzarsi anche in caso di future emergenze sanitarie;
- attuare una corretta gestione dei nuovi pazienti cronici causati dalla pandemia, ossia coloro che, a seguito della diagnosi di Covid-19, hanno manifestato deficit funzionali, declino cognitivo o patologie psichiatriche.
Partners: Università di Milano-Bicocca (PI: Prof. Giovanni Corrao), Università degli Studi di Milano, Università del Piemonte Orientale, Università di Pavia, Fondazione IRCCS Policlinico San Matteo di Pavia.
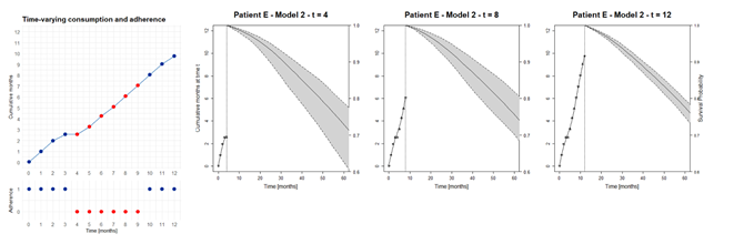
- Advanced methods for pharmacoepidemiology: Dynamic monitoring of adherence to medication in heart failure patients
Goals: This project focuses on defining a new personalized tool for the dynamic monitoring of the effects of time-varying adherence to medication on survival in chronic heart failure patients within a joint modelling framework.
The primary objectives are (i) the definition and reconstruction of new time-varying variables of drugs consumption and adherence exploiting the potential of real-world healthcare administrative databases, and (ii) the quantification of the association between the dynamic processes with patients’ long-term survival.
In doing so, we provide a new real-time monitoring and profiling of patients, essentials elements for subject-specific predictions and personalized medicine, which could allow to tailor therapeutic interventions and adjustments in order to prevent disease progression.
Partners: Regione Lombardia – DG Welfare, CHRP, University of Trieste.
- Functional modeling of recurrent events on time-to-event processes
Goals: This methodological project aims to enrich the information available for modelling survival with relevant dynamic features, properly taking into account their possibly time-varying nature, as well as to provide a new setting for quantifying the association between time-varying processes and time-to-event outcomes.
The project involves administrative databases integration, survival analysis, functional data analysis and marked point process modelling of critical events of interest. In particular, we focuses on the effects of recurrent drug purchases and re-hospitalizations processes on long-term survival in Heart Failure patients.
We develop a novel way to account for time-varying variables that allows to model self-exciting behaviours and to quantify the effect of personal therapeutic patterns on survival, giving new insights into the direction of personalized treatment and treatment planning.
Partners: Regione Lombardia – DG Welfare
- Advanced statistical modelling of time-varying covariates within survival models: an application to risk stratification and personalized prediction for osteosarcoma patients.
Goals: Statistical models which deal with dynamic functional covariates will be developed to provide personalized prediction of long-term survival for patients with osteosarcoma. In particular, the project focus on the following methodological aspects: i) Compare methods to include time-varying covariates into a survival framework; ii) Develop structural equation or latent class models to analyse relationships between unobserved functional factors from observable variables, plugging them into a survival field; iii) Develop hidden Markov models with functional response, focusing on models where the path through states is only observed through some error-prone marker; iv) Generalize of a joint modelling approach to a multivariate functional framework.
Partners: Prof. Marta Fiocco (University of Leiden)
- Statistical methods for real-time medical decision making in chronic diseases based on functional analysis of time-to-event data

Goals: Lo studio ha il duplice obiettivo di a) caratterizzare la discalemia utilizzando le misurazioni ripetute di potassio, individuando gli andamenti che aumentano il rischio di morte nei pazienti, e b) studiare la relazione tra la dinamica del potassio e dei trattamenti farmacologici nel tempo in associazione al loro effetto sul rischio di morte in modo da individuare quando gli effetti avversi del trattamento sul potassio superano i benefici del trattamento stesso.
Partners: Regione Friuli Venezia Giulia, Prof. Giulia Barbati (Università di Trieste), Centro Cardiovascolare di Trieste
- Optimal transplant time estimation in myelodysplastic syndromes
Goals: The project aims at developing suitable methods for the estimation of the optimal transplant time for patients affected by myelodysplastic syndromes, differentiating the scenarios based on genomic profiles.
Partners: Dr. Matteo Della Porta, Dr. Matteo Bersanelli (Humanitas University), CALR – Center for Accelerating Leukaemia/Limphoma Research
- Utilization of Regional Health Source Databases for Evaluating Epidemiology, short- and medium-term outcome and process indicators in patients hospitalized for heart failure
Progetto di Ricerca Finalizzata di Regione Lombardia – HFData-RF-2009-1483329 – 2012-2016 (Completed) – 103k€
- Exploitation, integration and study of current and future health databases in Lombardia for Acute Myocardial Infarction (STEMI Registry)
Progetto di Ricerca Finalizzata di Regione Lombardia – 2009-2011 (Completed) – 391k€
Links:
- CHRP – Center for Healthcare Research and Pharmacoepidemiology
- CHDS – Center for Health Data Science
- RL – Healthcare Division
- DASPO – Data Analysis and Survival for Personalized Oncology group
- HEAD – research on Health and Education systems Assessment using administrative Data
FARB Politecnico – Finanziamento di Ateneo per la Ricerca di Base – 2013 -2016 (Completed)
People involved:
- Prof. Anna Paganoni
- Prof. Francesca Ieva
- Dr. Andrea Cappozzo
- Dr. Chiara Masci
- Dr. Federica Corso
- Dr. Nicole Fontana
- Dr. Caterina Gregorio
- Dr. Laura Savarè
- Dr. Vittorio Torri


Goals: This project focuses on defining a new personalized tool for the dynamic monitoring of the effects of time-varying adherence to medication on survival in chronic heart failure patients within a joint modelling framework.
Goals: This methodological project aims to enrich the information available for modelling survival with relevant dynamic features, properly taking into account their possibly time-varying nature, as well as to provide a new setting for quantifying the association between time-varying processes and time-to-event outcomes.
Goals: Statistical models which deal with dynamic functional covariates will be developed to provide personalized prediction of long-term survival for patients with osteosarcoma. In particular, the project focus on the following methodological aspects: i) Compare methods to include time-varying covariates into a survival framework; ii) Develop structural equation or latent class models to analyse relationships between unobserved functional factors from observable variables, plugging them into a survival field; iii) Develop hidden Markov models with functional response, focusing on models where the path through states is only observed through some error-prone marker; iv) Generalize of a joint modelling approach to a multivariate functional framework.
Goals: The project aims at developing suitable methods for the estimation of the optimal transplant time for patients affected by myelodysplastic syndromes, differentiating the scenarios based on genomic profiles.